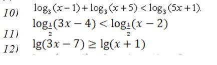
Логарифмические неравенства 4
p.s. если разбирайтесь в теме - помогите с другими четырьмя.
Приложения:

Ответы
Ответ дал:
1
Ответ:
Пошаговое объяснение:
Приложения:
yaico123:
Большое спасибо
Вас заинтересует
1 год назад
1 год назад
1 год назад
1 год назад
3 года назад