1. Установить вид треугольника АВС, если А (2; -4; 2), В (3; 3; 3), С (4; 0; 1).
а) остроугольный
б) прямоугольный
в) тупоугольный
2. Точка С (3; 1; 2) - середина отрезка АВ.
Если А (4; 3; 5), то координаты точки В будут:
а) (1; 1; -2)
б) (-2; -1; -1)
в) (2; 0; -1)
г) (2; 1; -1)
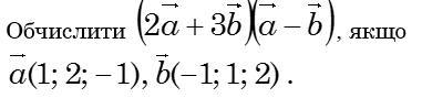
3. (В ответ напишите только число, если дробное число,
то в виде десятичной дроби. Например, -2,4)
Приложения:

Ответы
Ответ дал:
0
Ответ:
1. в
2. б
Пошаговое объяснение:
3 не знаю как решить
Вас заинтересует
1 год назад
1 год назад
3 года назад
8 лет назад