Ответы
Ответ дал:
0
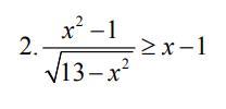
Решение представлено в jpeg формате
Приложения:

Ответ дал:
0
.................................................................
Приложения:

Вас заинтересует
2 года назад
3 года назад
3 года назад
8 лет назад
8 лет назад
9 лет назад