• Предмет: Математика
  • Автор: WereWolf24573
  • Вопрос задан 8 лет назад

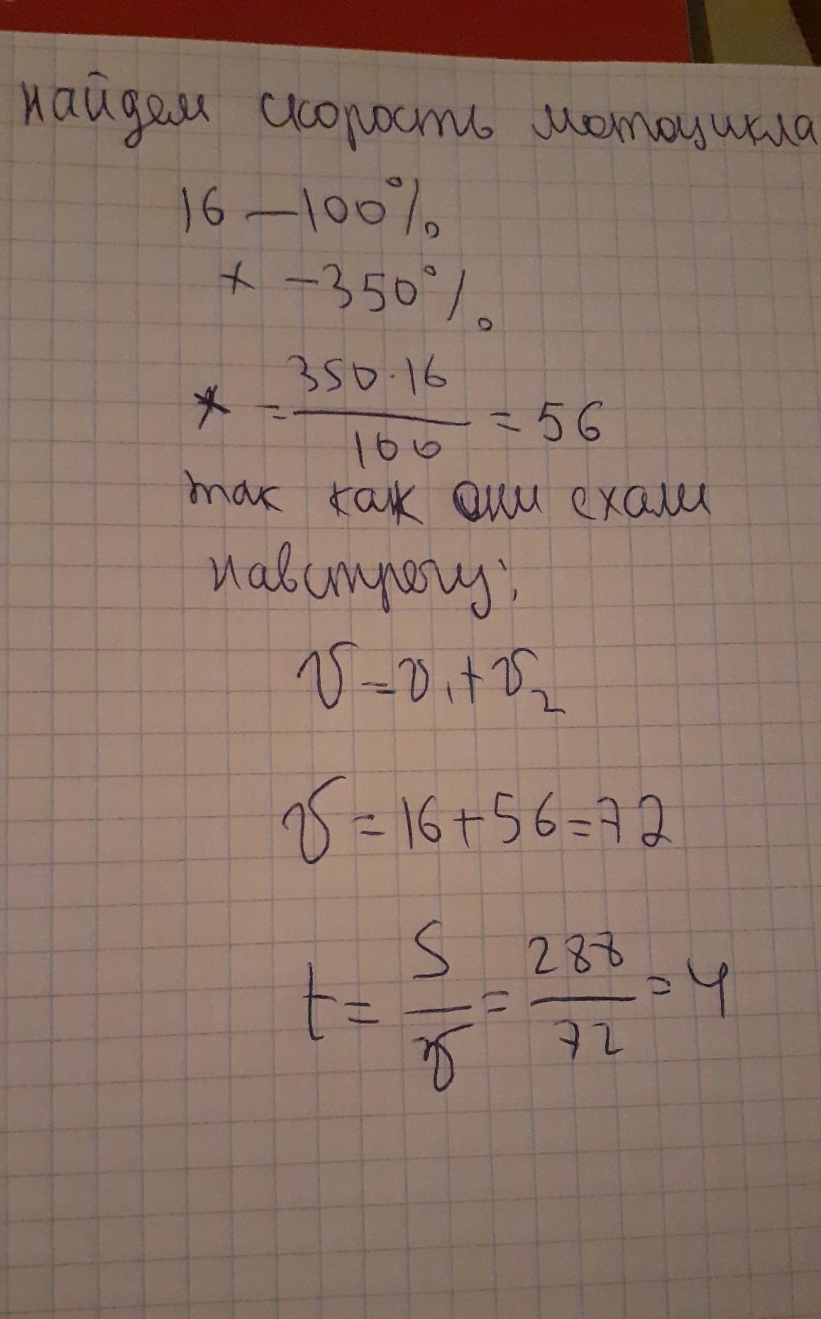
Из двух городов, расстояние между которыми 288 км, навстречу друг другу выехали велосипедист и мотоциклист. Скорость велосипедиста равна 16 км/ч, а скорость мотоциклиста составляет 350% скорости велосипедиста. Через сколько часов они встретятся? Коротко запишите решение.

Ответы

Ответ дал: anyamika
0

удачи))))))))))))))

Приложения:
Ответ дал: maksimkalicman2007
0

Ответ: через 4часа они встретятся

Пошаговое объяснение:

Приложения:
Вас заинтересует