• Предмет: Математика
  • Автор: Mkdevix5
  • Вопрос задан 8 лет назад

помогите пожалуйста срочно​

Приложения:

Ответы

Ответ дал: anisha300313
0

Відповідь:

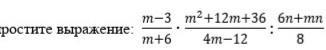
1)frac{m-3}{m+6} *frac{(m+6)^2}{4(m-3)} =frac{m+6}{4} \2)frac{m+6}{4}  : frac{6n+mn}{8} =frac{m+6}{4}*frac{8}{n(6+m)} =frac{2}{n}

Покрокове пояснення:

1)Во втором формула и выносим общий множитель за скобки и просто  умножаем

2)Во втором выносим общий множитель и переворачиваем вторую дробь и умножаем.

Вас заинтересует