Ответы
Ответ дал:
0
X½ ≠ ±2, потому что знаменатель не должен равняться нулю, ибо но ноль делить низзя.
Приложения:

Ответ дал:
0
Ответ:
х= -1
Объяснение:
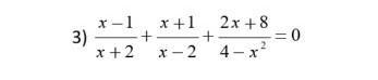
(х-1)/(х+2) + (х+1)/((х-2) + (2х+8)/(4-х²)=0
(х-1)/(х+2) + (х+1)/((х-2) + (2х+8)/ -(х²-4)=0
(х-1)/(х+2) + (х+1)/((х-2) - (2х+8)/(х²-4)=0
Общий знаменатель (х²-4), или (х-2)(х+2), избавляемся от дроби:
(х-2)(х-1) + (х+2)(х+1) - (2х+8)=0
Раскрываем скобки:
х²-х-2х+2+х²+х+2х+2-2х-8=0
Приводим подобные члены:
2х²-2х-4=0/2
Разделим уравнение на 2 для удобства вычислений:
х²-х-2=0, квадратное уравнение, ищем корни:
х₁,₂=(1±√1+8)/2
х₁,₂=(1±√9)/2
х₁,₂=(1±3)/2
х₁= -2/2
х₁= -1
х₂=4/2
х₂=2
Так как 2 не входит в область допустимых значений х (ОДЗ), х= -1.
Приложения:

Вас заинтересует
2 года назад
3 года назад
8 лет назад
8 лет назад