• Предмет: Алгебра
  • Автор: 09nastasya09
  • Вопрос задан 8 лет назад

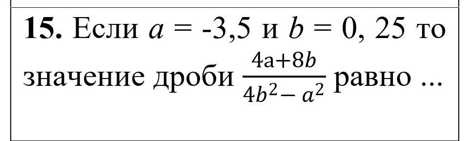
помогите пожалуйста решить



Приложения:

Ответы

Ответ дал: zxwergh
0

Ответ:1 ааааааааааааааааааааа

Объяснение:

Ответ дал: nomber05n
0
тогда сама учи)
Ответ дал: nomber05n
0

Объяснение:

думаю правильно))))))))))))))

Приложения:
Вас заинтересует