3. Напишите структурные формулы:
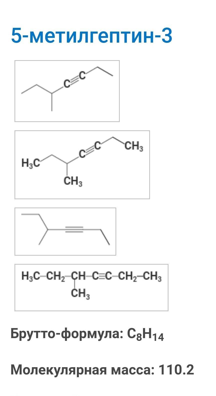
а) 3-метилбутин-1; б) 5-метилгептин-3; в) 2,2,5-триметилгексин-3;
г) 2,5-диметилгексин-3; д) 3-метил-3-этил-4-пропилгептин-1.
Ответы
Ответ дал:
3
Ответ:
ответ хоть на два вопроса
Приложения:


Вас заинтересует
1 год назад
1 год назад
1 год назад
1 год назад
3 года назад
3 года назад
8 лет назад
8 лет назад