• Предмет: Алгебра
  • Автор: Аноним
  • Вопрос задан 8 лет назад

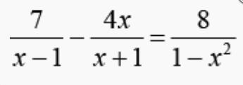
Решите уравнение.В ответе укажите наименьший корень уравнения

Приложения:

Ответа на этот вопрос пока нет. Попробуйте найти его через форму поиска.

Вас заинтересует