• Предмет: Математика
  • Автор: adwddwwddw
  • Вопрос задан 8 лет назад

ПОЖАЛУЙСТА ПОМОГИТЕ ЛЕГКОЕ ЗАДАНИЕ
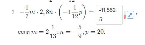
1 пример

Приложения:

Ответы

Ответ дал: awdadawdawd
0

Ответ:

ыц

Пошаговое объяснение:

Вас заинтересует