• Предмет: Алгебра
  • Автор: pantaziykirill
  • Вопрос задан 2 года назад

Решите срочноооо
Даю 40 баллов
Пожалуйста​

Приложения:

Ответы

Ответ дал: Zubayda888
1

Ответ:

помогла ..чем смогла.....

Приложения:

Zubayda888: отметь мой ответ лучшим пж :)☆•°
Ответ дал: Ksyushaha
0
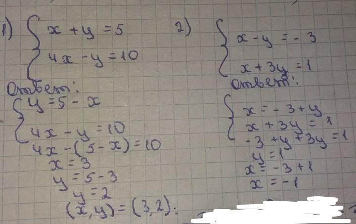
Ответ в приложенном фото)
Приложения:
Вас заинтересует