• Предмет: Алгебра
  • Автор: AlekseyAlekseev2002
  • Вопрос задан 8 лет назад

ОЧЕНЬ СРОЧНО!!! Помогите!!! Умоляю!!!

Приложения:

Ответы

Ответ дал: afet74
0

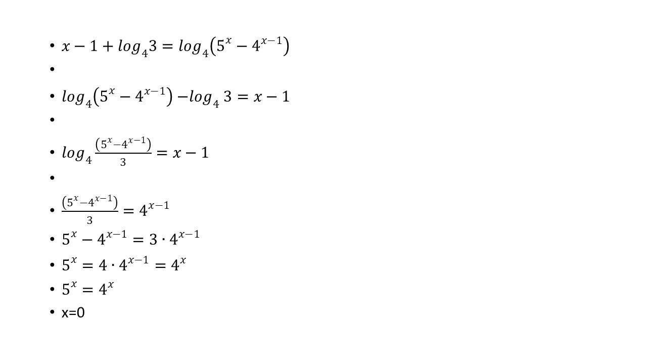
Ответ:

х=0

Объяснение:

на фото

Приложения:
Вас заинтересует