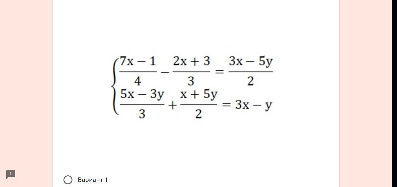
Помогите с решением, алгебра 7 класс,заранее спасибо!!! Решить систему уравнений методом сложения.
Приложения:


Ответа на этот вопрос пока нет. Попробуйте найти его через форму поиска.
Вас заинтересует
2 года назад
2 года назад
3 года назад
8 лет назад
9 лет назад