• Предмет: Алгебра
  • Автор: AnnaSergeevna87
  • Вопрос задан 8 лет назад

найти первообразованную функцию f(x)=e^x-x^3? проходящей через точку (0;-2)
Спасибо!

Ответы

Ответ дал: afet74
0

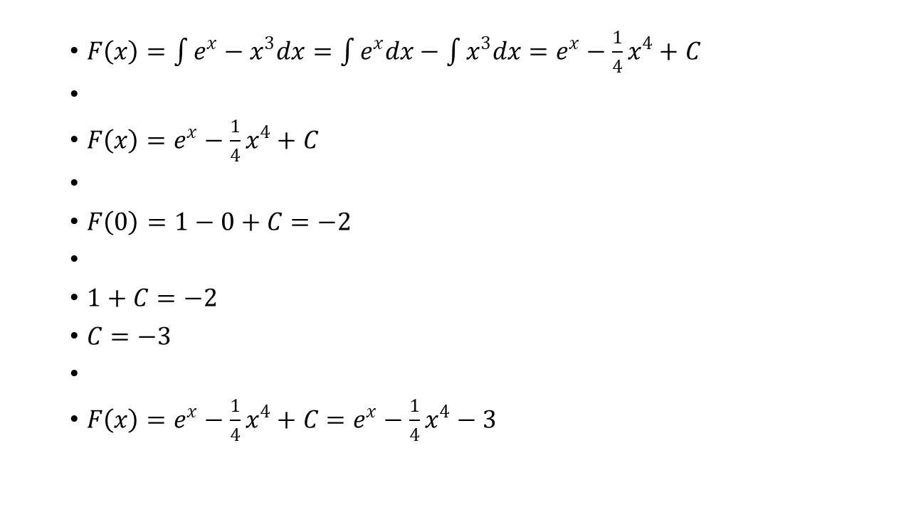
Ответ:

Объяснение:

на фото

Приложения:
Вас заинтересует