• Предмет: Химия
  • Автор: arsenyaremchuk72
  • Вопрос задан 8 лет назад

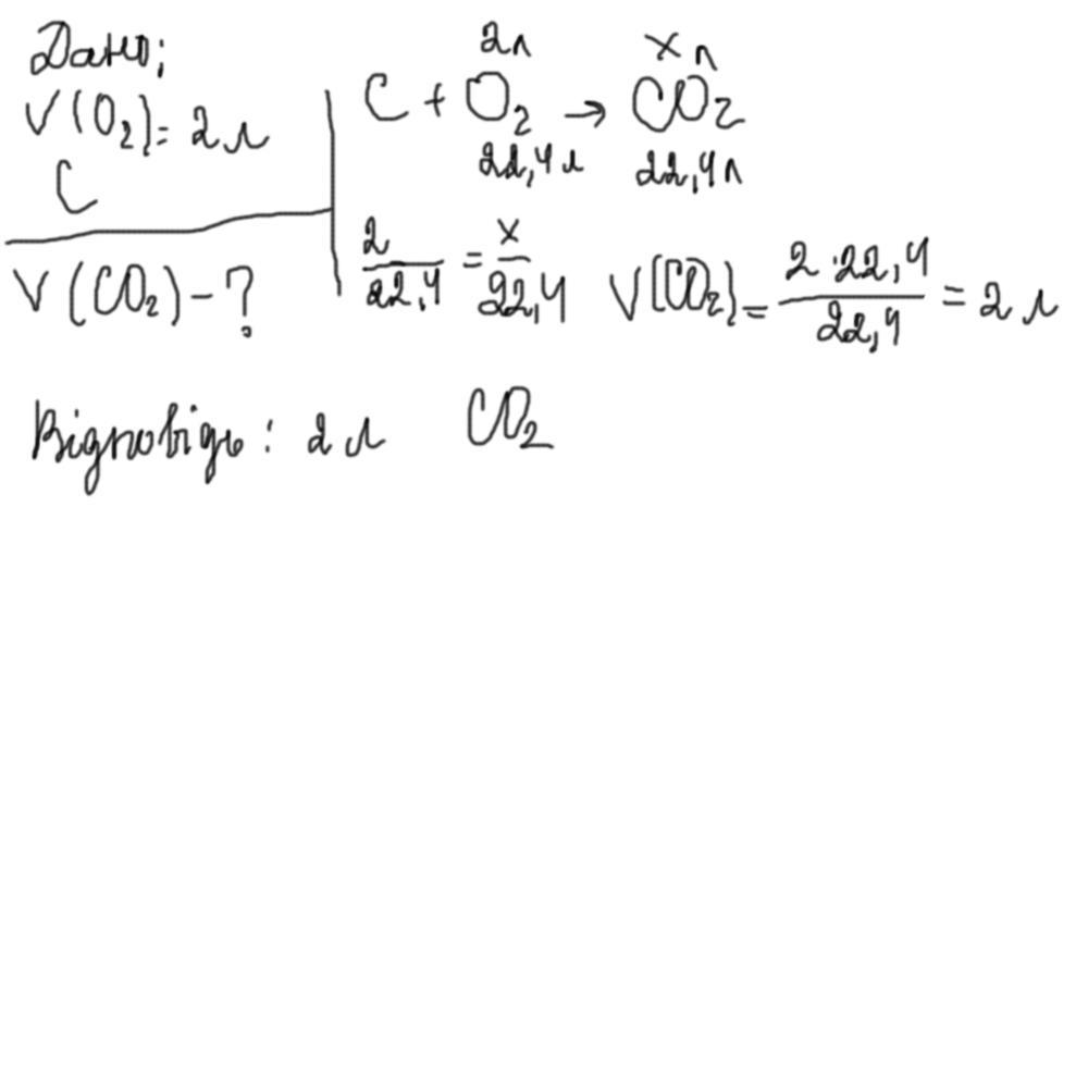
знайти об'єм карбон (IV) оксиду що утворився під час згоряння вугілля у 2 л кисню.

Ответы

Ответ дал: kononovfelix
0

Ответ: 2 л CO2

(ответ во вложении)

Приложения:
Вас заинтересует