• Предмет: Алгебра
  • Автор: PoLi1YT
  • Вопрос задан 8 лет назад

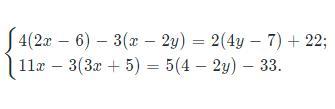
ДАМ 29Б ПОМОГИТЭ ПОЖАЛУЙСТА

Приложения:

Ответа на этот вопрос пока нет. Попробуйте найти его через форму поиска.

Вас заинтересует