• Предмет: Алгебра
  • Автор: AnnaSergeevna87
  • Вопрос задан 2 года назад

Задание на скрине, помогите, сдавать завтра

Приложения:

Ответы

Ответ дал: afet74
1

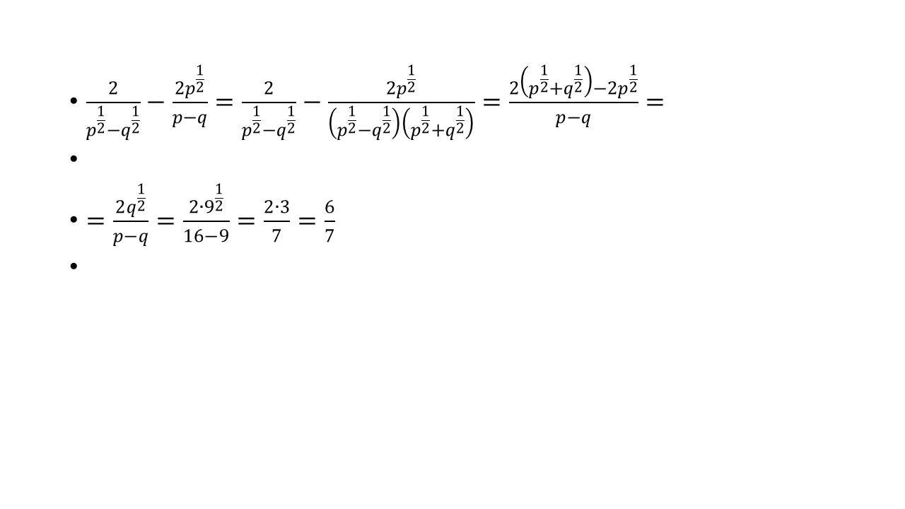
Ответ:

6/7

Объяснение:

foto

Приложения:
Вас заинтересует