Ответы
Ответ дал:
0
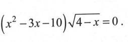
Sqrt(4-x)=0 4-х=0 х=4
Или
Х^2-3х-10=0
D=B^2-4ac=9+40
SqrtD=7
X1=(-b+sqrtD)/2a=(3+7)/2=5 не подходит, т.к под корнем будет меньше нуля если подставить
X2=(-b-sqrtD)\2a=(3-7)/2=-2
Ответ: 4 и -2
Или
Х^2-3х-10=0
D=B^2-4ac=9+40
SqrtD=7
X1=(-b+sqrtD)/2a=(3+7)/2=5 не подходит, т.к под корнем будет меньше нуля если подставить
X2=(-b-sqrtD)\2a=(3-7)/2=-2
Ответ: 4 и -2
Вас заинтересует
1 год назад
1 год назад
2 года назад
2 года назад
3 года назад
9 лет назад