Добрый вечер, кто может помочь, вообще не разбираю что да как...
И если это возможно можно сфотографировать ответ, буду признателен:)
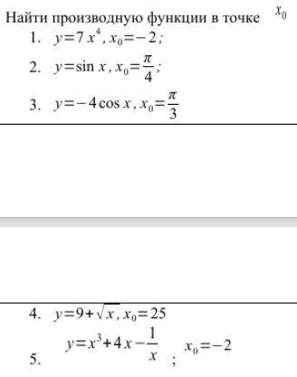
Приложения:

Ответа на этот вопрос пока нет. Попробуйте найти его через форму поиска.
Вас заинтересует
2 года назад
2 года назад
3 года назад
3 года назад
8 лет назад