• Предмет: Математика
  • Автор: adievamaria902
  • Вопрос задан 2 года назад

Помогите пожалуйста с решением!!!

Приложения:

Ответы

Ответ дал: annakovalska12
0

Ответ:

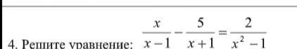
 \frac{x(x + 1)}{(x - 1)(x + 1)}  -  \frac{5(x - 1)}{(x - 1)(x + 1)}  -  \frac{2}{(x - 1)(x + 1) }

 \frac{{x}^{2}  + x - 5x  +  5  - 2}{(x - 1)(x + 1)}

 \frac{ {x}^{2} - 4x + 3 }{(x - 1)(x + 1)}

 {x}^{2}  - 4x + 3 = 0  \\ (x - 1)(x + 1) = 0

1 дискриминант

Ответ дал: NNNLLL54
0

\dfrac{x}{x-1}-\dfrac{5}{x+1}=\dfrac{2}{x^2-1}\; \; ,\; \; \; \; ODZ:\; \; x\ne \pm 1\\\\\\\dfrac{x(x+1)-5(x-1)}{(x-1)(x+1)}=\dfrac{2}{(x-1)(x+1)}\\\\\\\dfrac{x(x+1)-5(x-1)-2}{(x-1)(x+1)}=0\\\\\\\dfrac{x^2-4x+3}{(x-1)(x+1)}=0\; \; \; \to \; \; \; \left\{\begin{array}{ccc}x^2-4x+3=0\\(x-1)(x+1)\ne 0\end{array}\right\; \; \left\{\begin{array}{ccc}x_1=1\; ,\; x_2=3\\x\ne -1\; ,\; x\ne 1\end{array}\right\\\\\\Otvet:\; \; x=3\; .

Вас заинтересует