• Предмет: Геометрия
  • Автор: monesy27
  • Вопрос задан 2 года назад

решите пожалуйста умоляю!!

Приложения:

Ответы

Ответ дал: kalinintalin
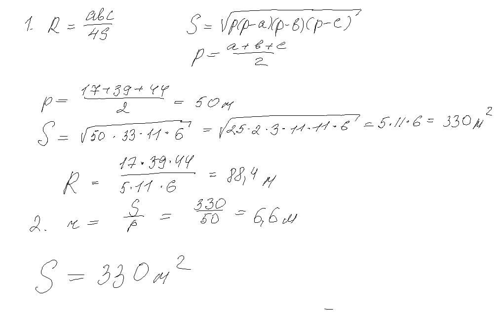
1

Ответ:

1. R=88,4

2. r=6,6

3. S=330

Объяснение:

Приложения:
Вас заинтересует