• Предмет: Алгебра
  • Автор: andriiolenchuk
  • Вопрос задан 8 лет назад

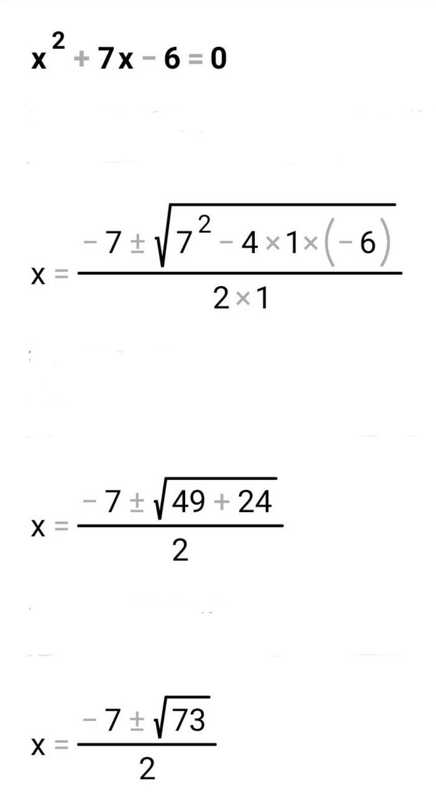
Розв'язати x²+7x-6=0
Допоможіть, будь ласка.

Ответы

Ответ дал: Anecka54
0

Ответ:

в описании

Объяснение:

а принципе вот так если не так сорян

Приложения:
Вас заинтересует