Ответы
Ответ дал:
0
Ответ:
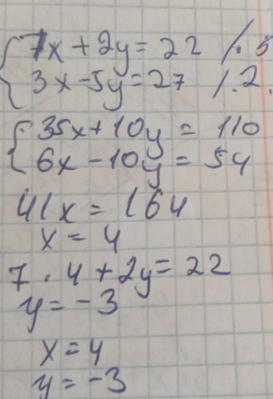
x =4
y=-3
На фото все видно надеюсь я вам помогла
Приложения:

Вас заинтересует
2 года назад
2 года назад
3 года назад
3 года назад
8 лет назад
9 лет назад
9 лет назад