• Предмет: Математика
  • Автор: bajkenovaaruzan
  • Вопрос задан 8 лет назад

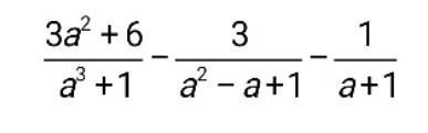
найти значение выражения при a=1,4​

Приложения:

Ответы

Ответ дал: Aruzhan575
0

Ответ:

Пошаговое объяснение:

Приложения:
Вас заинтересует