• Предмет: Математика
  • Автор: bad5777
  • Вопрос задан 8 лет назад

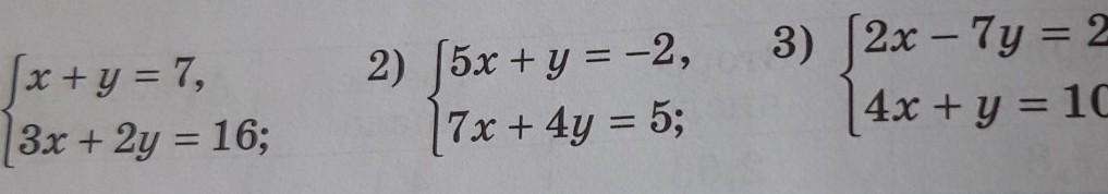
Решить систему уравнений:
Пожалуйста помогитееее не просто уравнение,а такие скобки как на фото!!​

Приложения:

Ответы

Ответ дал: gal4enok0071
0
Как то так! Последняя система не видно....
Приложения:
Вас заинтересует