• Предмет: Математика
  • Автор: npnnnnn
  • Вопрос задан 2 года назад

ПОМОГИТЕ ПОЖАЛУЙСТА!!!!!
С РЕШЕНИЕМ ОБЯЗАТЕЬНО!!!!!!!!!!!!!!!!!!!!

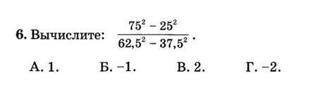
Приложения:

Ответы

Ответ дал: narminmamedzadeh
2

Ответ:

(75^2-25^2)/(62,5^2-37,5^2)=

=(75-25)(75+25)/(62,5-37,5)(62,5+37,5)=

=50×100/25×100=50/25=2


npnnnnn: спасибо большое))))))))
narminmamedzadeh: ответ: В.2
narminmamedzadeh: пожалуйста
Вас заинтересует