• Предмет: Физика
  • Автор: ViniMaListiks
  • Вопрос задан 8 лет назад

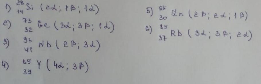
Ребята срочно решите полностью.

Приложения:

Ответа на этот вопрос пока нет. Попробуйте найти его через форму поиска.

Вас заинтересует