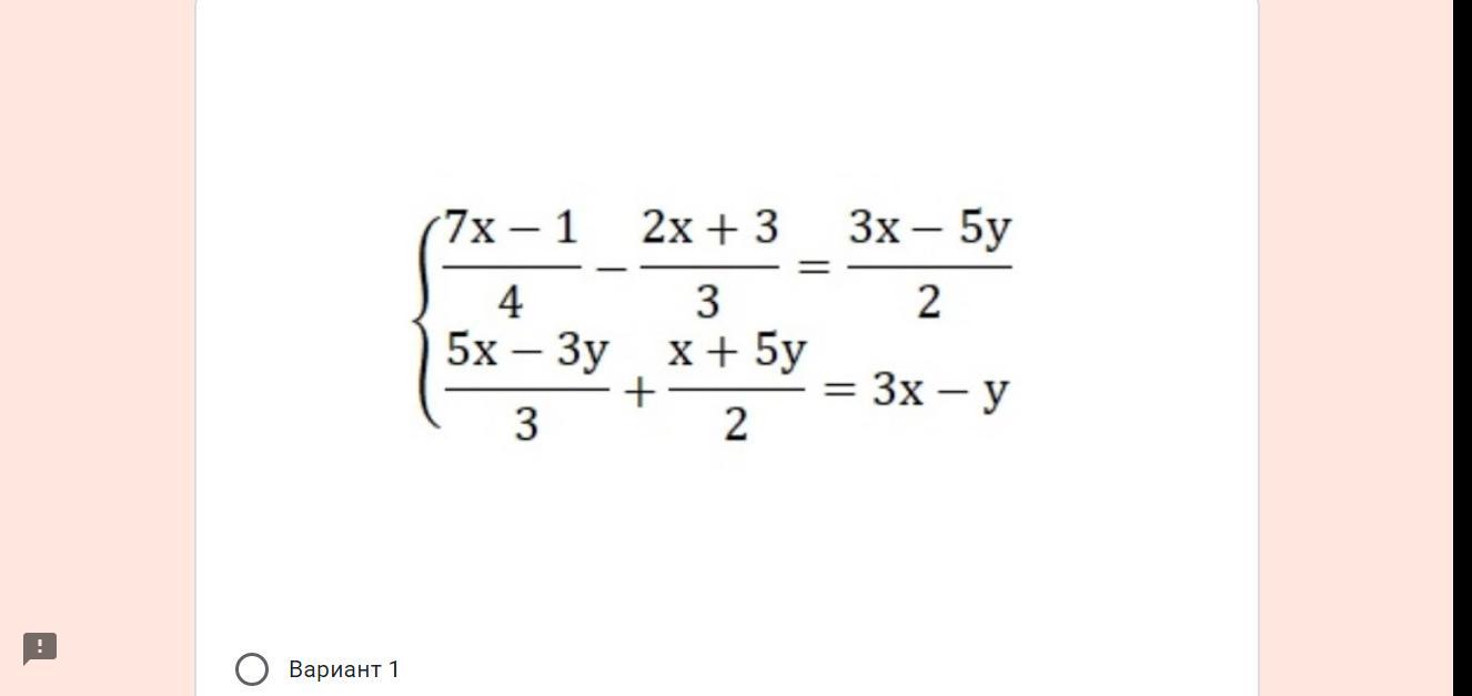
Помогите с решением, алгебра 7 класс,заранее спасибо!!! Решить систему уравнений методом сложения.
Приложения:


Ответы
Ответ дал:
0
!!!Решение на фотографии!!!!!
Приложения:

Вас заинтересует
2 года назад
2 года назад
3 года назад
8 лет назад
9 лет назад