• Предмет: Алгебра
  • Автор: BereketovasupeeR
  • Вопрос задан 8 лет назад

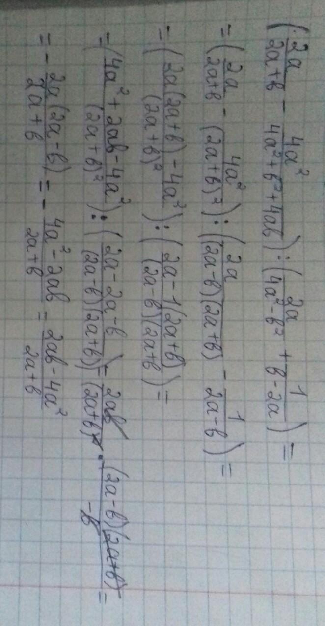
Помогите с алгеброй пожалуйста

Приложения:

Ответы

Ответ дал: sumaya13q
0

Ответ и объяснение:

На фото

Приложения:
Вас заинтересует