• Предмет: Алгебра
  • Автор: rolobope3
  • Вопрос задан 8 лет назад

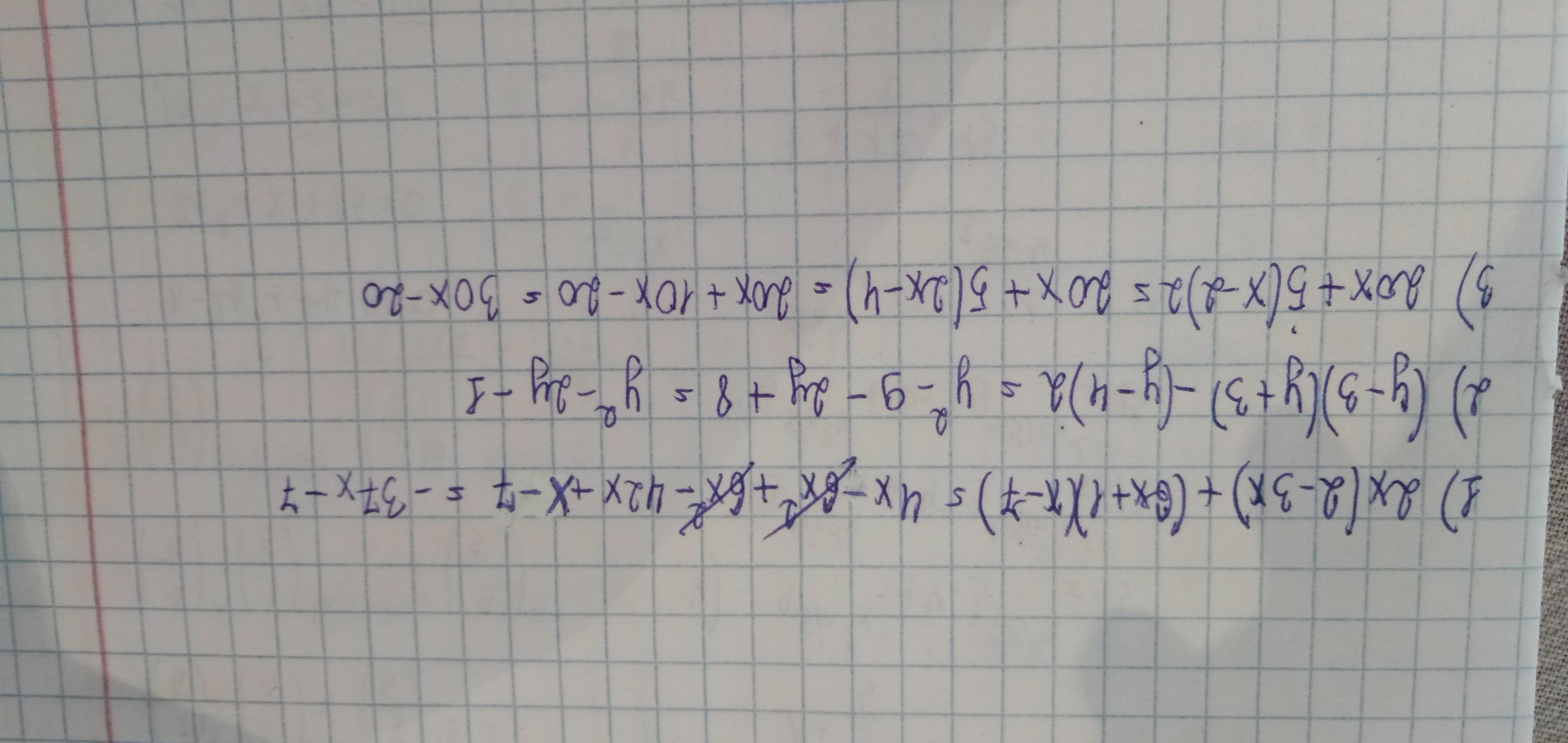
Представьте в виде многочлена
2х(2−3х)+(6х+1)(х −7)
(у −3)(у+3) −(у −4)2
20х+5(х −2)2

Ответы

Ответ дал: Zhaukashtina
0

Ответ:

1) -37х-7

2) у^2-2у-1

3) 30х-20

Объяснение:

Приложения:
Вас заинтересует