• Предмет: Алгебра
  • Автор: dofjsdkke
  • Вопрос задан 8 лет назад

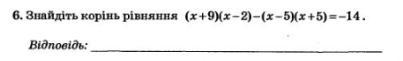
ПОМОГИТЕ У МЕНЯ К.Р ГОДОВАЯ 7 КЛАСС

Приложения:

Ответы

Ответ дал: Hfftu
0

Объяснение:

......................

Приложения:
Вас заинтересует