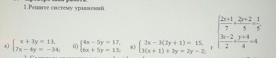
Помогите срочняк, пожалуйстаааа!!Дам за хороший ответ "лучший ответ", солныгки помогите.
Приложения:

Ответа на этот вопрос пока нет. Попробуйте найти его через форму поиска.
Вас заинтересует
2 года назад
3 года назад
3 года назад
9 лет назад
9 лет назад