• Предмет: Алгебра
  • Автор: kohija9137
  • Вопрос задан 8 лет назад

можете решить, пожалуйста. у меня сейчас контрольная

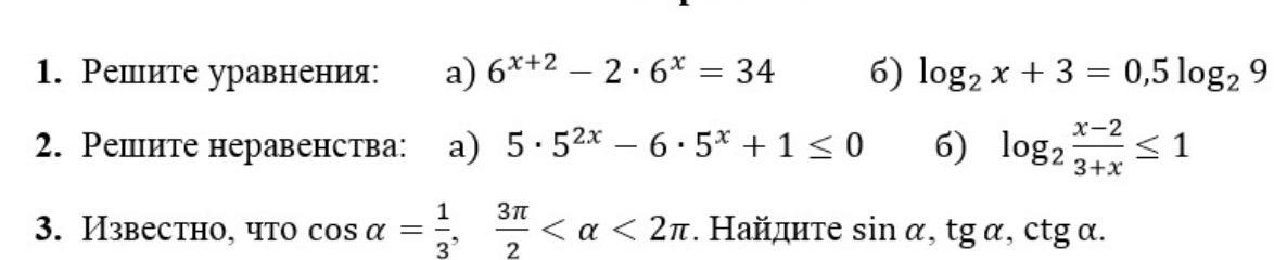
Приложения:

Ответа на этот вопрос пока нет. Попробуйте найти его через форму поиска.

Вас заинтересует