• Предмет: Алгебра
  • Автор: ponchik2106200oxrso9
  • Вопрос задан 8 лет назад

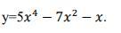
Найдите производную для функции

Приложения:

Ответа на этот вопрос пока нет. Попробуйте найти его через форму поиска.

Вас заинтересует