• Предмет: Алгебра
  • Автор: ponchik2106200oxrso9
  • Вопрос задан 2 года назад

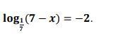
Решите уравнение, срочно

Приложения:

Ответы

Ответ дал: bikabushhhh
0
Смотри ответ...............
Приложения:

ponchik2106200oxrso9: Нужно с ОДЗ
Вас заинтересует