• Предмет: Алгебра
  • Автор: AlEkS396
  • Вопрос задан 8 лет назад

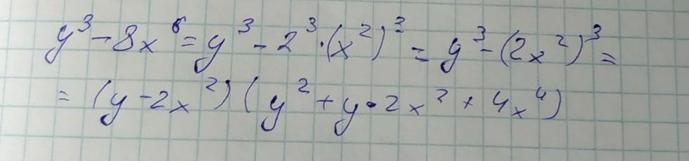
Розкладіть на множники вираз у3 – 8х6 Срочно!!

Ответы

Ответ дал: daniilzhulanov
0

Привет!

Решние на фото!

Удачи ;)

Приложения:
Вас заинтересует