• Предмет: Математика
  • Автор: ffgggrrttrr
  • Вопрос задан 8 лет назад

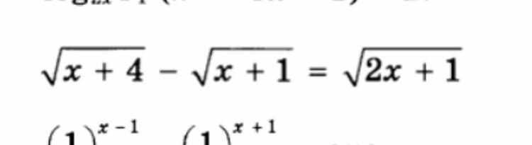
ДАЮ 20 БАЛЛОВ

Решите уравнение !!!!!!
Спасибо.

Приложения:

Ответа на этот вопрос пока нет. Попробуйте найти его через форму поиска.

Вас заинтересует