• Предмет: Математика
  • Автор: nLogunov0
  • Вопрос задан 8 лет назад

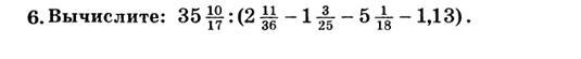
решите пж даю 30 балов!

Приложения:

Ответа на этот вопрос пока нет. Попробуйте найти его через форму поиска.

Вас заинтересует