• Предмет: Химия
  • Автор: Ильдар18RUS
  • Вопрос задан 10 лет назад

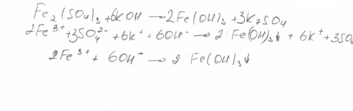
Fe2(SO4)3 + KOH

Напишите: 1)Полное ионное уравнение, 2)Сокращённое ионное уравнение.

Ответы

Ответ дал: AscarisLumbricoides
0
,,,,,,,,,,,,,,,,,,,,,,,,,,,,,,,,,,,,
Приложения:
Вас заинтересует