• Предмет: Математика
  • Автор: maksimvelikhov
  • Вопрос задан 8 лет назад

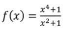
Найти наибольшее и наименьшее значение функции на отрезке [-1;1].



Приложения:

Ответы

Ответ дал: Ggaannf
0

Ответ:

наибольшее 3,наименьшее 1.Вот так,моно спасибо и оценку позжалуйста

Пошаговое объяснение:

спасибо

Вас заинтересует