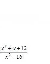
при каких значениях переменная алгебразическая дробь имеет смысл ,,ПОМОГИТЕЕЕЕ ДАЮ 40 балов
Приложения:
Ответы
Ответ дал:
0
Ответ:
это график
Объяснение:
Приложения:
Вас заинтересует
2 года назад
2 года назад
3 года назад
3 года назад
9 лет назад
9 лет назад
10 лет назад
10 лет назад