• Предмет: Математика
  • Автор: KРиповый
  • Вопрос задан 8 лет назад

Упростите пример:
cos4α -2cosα*cos3α

Ответы

Ответ дал: Kierra
0

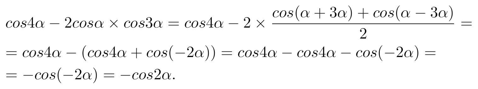
Решение во вложении.

Ответ: –cos2α...

Приложения:
Вас заинтересует