• Предмет: Математика
  • Автор: pasekamarina9
  • Вопрос задан 2 года назад

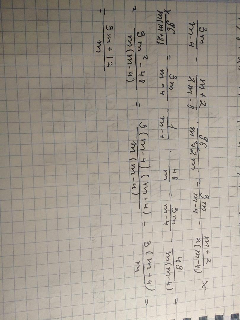
спростіть вираз 3m/m-4 - m+2/2m-8 * 96/m^2+2m​

Ответы

Ответ дал: sofiyagerasimova2005
4

Ответ:

так?

Пошаговое объяснение:

Приложения:
Вас заинтересует