• Предмет: Математика
  • Автор: Igornay
  • Вопрос задан 2 года назад

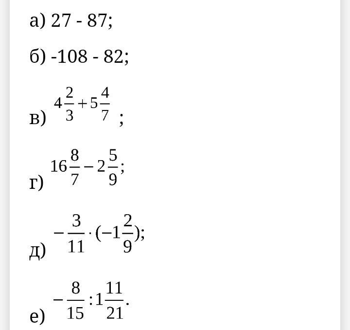
Помогите пожалуста, срочно нужна помощь, премьеры с действеями,
Зарание спасибо!!!!!!

Приложения:

Ответы

Ответ дал: muktarovvvva20
0

Ответ:

a) -60

b)-190

в) 98+117/21=215/21

Ответ дал: llyryk934
0

Ответ:

а) -60

б) -190

в) 215:21

г) 919:63

д) 1:3

е) -7:20

Пошаговое объяснение:

Вас заинтересует