Ответы
Ответ дал:
1
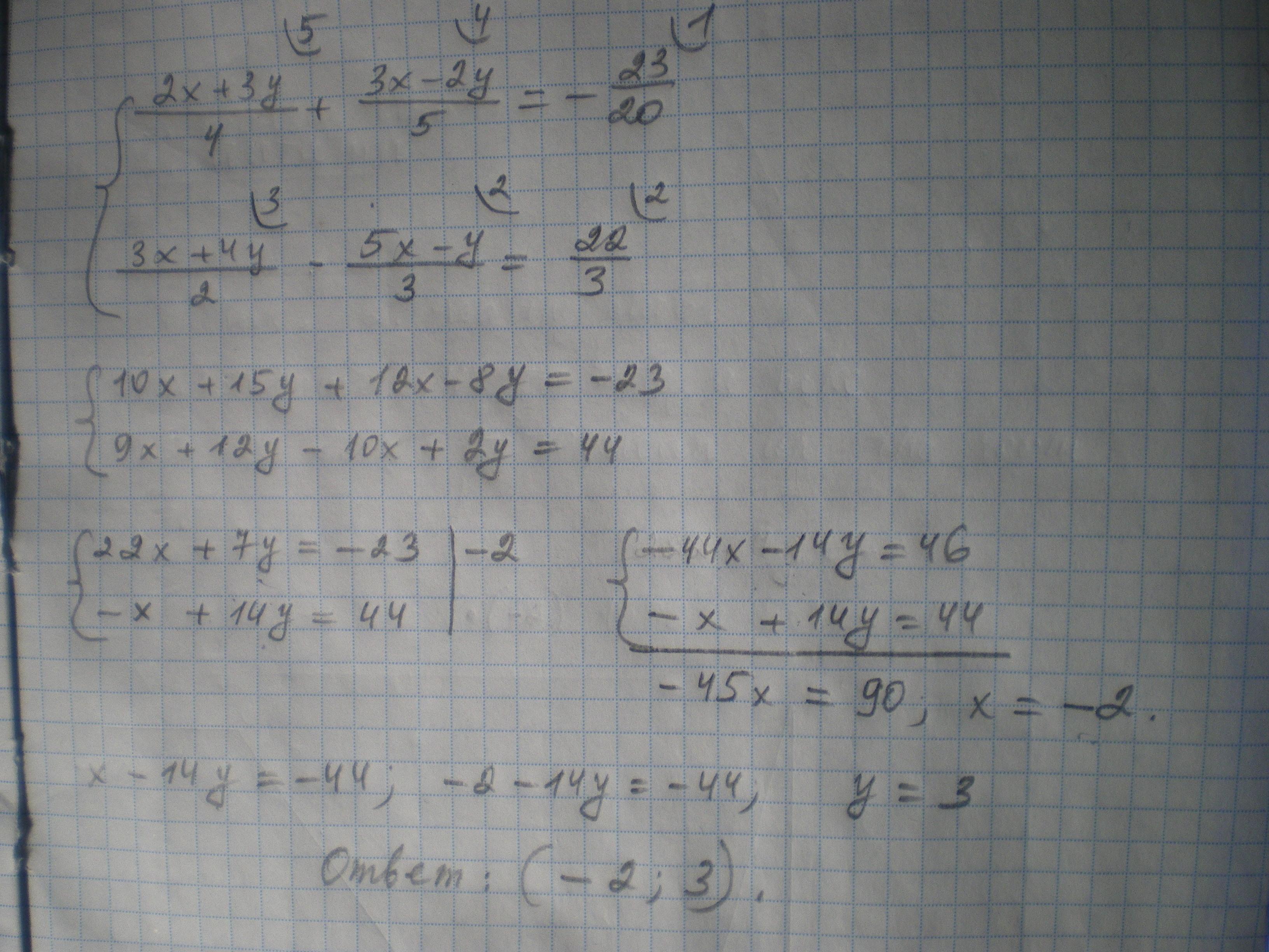
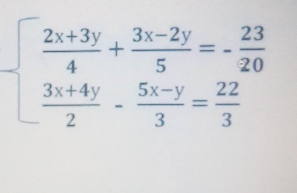
Ответ:
(-2; 3)
Объяснение:
Приложения:

onewko:
жаль что я уже сама решила но спасибо)))
Вас заинтересует
1 год назад
1 год назад
1 год назад
1 год назад
3 года назад
3 года назад
8 лет назад