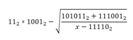
Каким числом можно заменить переменную x, чтобы результат выражения
был равен наименьшему нечетному пятизначному двоичному числу?
Приложения:

Ответы
Ответ дал:
2
Ответ:31
Объяснение:
Сам делал только что.
Физику решил???
gocodep782:
какие числа у тебя получились не складывая
Вас заинтересует
1 год назад
1 год назад
1 год назад
3 года назад
8 лет назад