доказать, что для любого натурального n значение выражения (n-1)(n+1)-(n-7)(n-5) кратно числу 12.
Ответы
Ответ дал:
0
Допустим n=6 получаем (6-1)(6+1)-(6-7)(6-5)=(5*7)-(-1*1)=35+1=36. итак 36 можно делить на 12 .кратно .......n может быть любым числом
Ответ дал:
0
это не решение
Ответ дал:
0
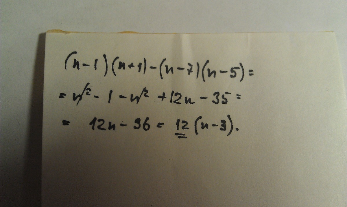
Вот решение на вашу задачу
Приложения:

Ответ дал:
0
в моём решении четко видно, то одним из множителей является 12, следовательно все выражение кратно 12 без остатка, в Вашем решении ничего не видно и непонятно.
Ответ дал:
0
в школе так сейчас не решают это инстиутское решение
Ответ дал:
0
это обычное решение для 10-11 класса. Я учусь в 11
Ответ дал:
0
но в принципе ответ норм
Вас заинтересует
2 года назад
8 лет назад
8 лет назад
10 лет назад
10 лет назад
10 лет назад