• Предмет: Математика
  • Автор: ЮляшОАА
  • Вопрос задан 11 лет назад

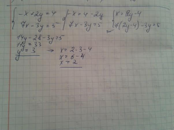
Решите способом подстановки:
{-х+2у=4
{7х-3у=5
Пожалуйста^^

Ответы

Ответ дал: Muraha1
0
...............................
Приложения:
Вас заинтересует