Ответы
Ответ дал:
0
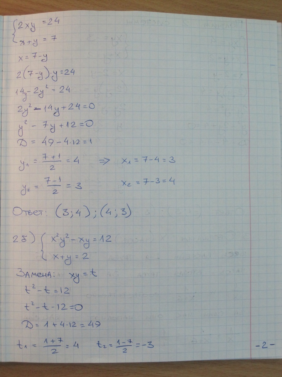
Вот))) Тут только 4 нет))) А так всё есть)
Приложения:





Ответ дал:
0
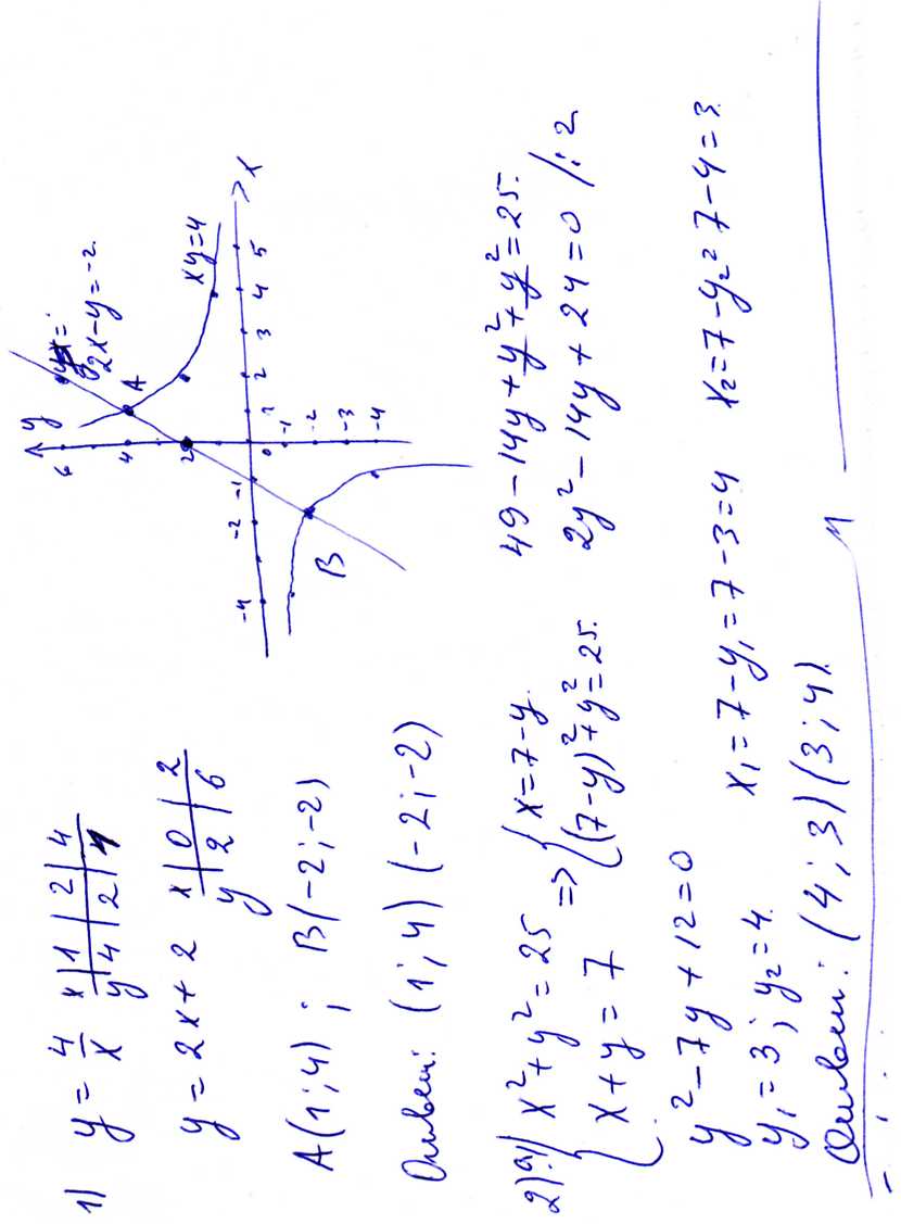
Бери решение и понимай!!!!!!!!!!
Приложения:


Вас заинтересует
2 года назад
2 года назад
8 лет назад
10 лет назад
10 лет назад