• Предмет: Математика
  • Автор: Nikolaich783
  • Вопрос задан 2 года назад

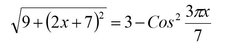
помогите решить комбинированное уравнение

Приложения:

Ответы

Ответ дал: Indentuum
0

Ответ:

x = -\frac72

Пошаговое объяснение:

Рассмотрим правую часть уравнения: 3 - \cos^2\left(\frac{3\pi x}{7} \right).

У правой части множество значений функции [2; 3].

Рассмотрим левую часть уравнения: \sqrt{9 + (2x + 7)^2}. Функция растёт в бесконечность, а её минимум - 3 - достигается, когда квадрат равен 0. Т.е. её множество значений  [3; +\infty).

Единственное решение может существовать тогда и только тогда, когда обе части равны 3.

Решим систему уравнений:

\begin{cases}3 - \cos^2\left(\frac{3\pi x}{7} \right) = 3\\\sqrt{9 + (2x + 7)^2} = 3\end{cases}

1)

3 - \cos^2\left(\frac{3 \pi x}{7}\right) = 3\\\cos^2\left(\frac{3 \pi x}{7}\right) = 0\\\cos\left(\frac{3 \pi x}{7}\right) = 0\\\frac{3 \pi x}{7} = \frac{\pi}{2} + \pi k, \quad k \in  \mathbb{Z}\\x = \frac{7 + 14k}{6}, \quad k \in \mathbb{Z}

2)

\sqrt{9 + (2x + 7)^2} = 3\\9 + (2x + 7)^2 = 9\\(2x + 7)^2 = 0\\x = -\frac72

Найдём общее решение:

-\frac72 = \frac{7 + 14k}{6}\\-21 = 7 + 14k\\k = -2

Оно подходит под условие, что k - целое, следовательно x = -\frac72 является единственным решением.

Вас заинтересует